Electroactive compounds for improved stability in redox flow batteries

Summary of the technology

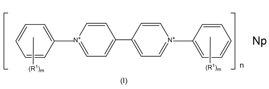
The invention involves an electrolyte based on a viologen compound, or its salt or solvate, where each nitrogen atom of the viologen is substituted with one aryl group. These aryl groups can be identical or different and may also be optionally substituted. This modification enhances the properties of the viologen, making it more stable and efficient for use in energy storage systems.

Additionally, the invention pertains to:
- A redox flow battery that uses this specially modified electrolyte.
- An energy storage and/or delivery system that includes this battery.
- A method for storing and/or delivering electricity using this battery.
- The use of the viologen compound or its salt/solvate as an active species in the electrolyte.

UNIVERSIDAD DE BURGOS

Details of the Technology Offer

The research group is focused on generating advanced knowledge in the field of electrochemical energy storage. Its main lines of research include the study of new electroactive materials, the development and characterization of electrochemical storage systems, the optimization of electrochemical processes, and the fundamental analysis of transport and reactivity phenomena to advance battery technologies and efficient, sustainable energy systems.

The invention provides an improved, more stable and durable electrolyte, enabling efficient and reliable energy storage, while avoiding the instability of electrolytes in redox flow batteries under alkaline conditions.

Applications

Redox flow batteries for energy storage:

- Large scale energy storage: For integration with renewable energy sources such as solar or wind.

- Residential systems: Providing backup power or home storage.

- Electric mobility: Energy storage for electric vehicles.

- Hybrid applications: Combined use of redox flow batteries with supercapacitors that adapt to storage requirements.

New and innovative aspects

The key innovation is the modification of the viologen structure by replacing the nitrogen atoms with aryl groups. This modification alters the electronic properties of the carbon atom bonded to the nitrogen atoms, effectively preventing nucleophilic attack by hydroxyl anions, which would otherwise degrade the viologen.

This represents a significant advance in viologen derivative chemistry, offering improvements in:

  • The functionality of the electrolyte in very basic pH environments,
  • The durability of the flow battery containing the viologen electrolyte,
  • Increased energy storage efficiency over longer periods of time,
  • The ability to operate at high current densities for extended periods at low energy cost.

Main advantages of its use

The use of the new electrolyte in flow batteries has the following advantages:

  • Improved chemical stability: The design prevents degradation in basic media, significantly increasing the lifetime of the electrolyte.
  • Improved energy efficiency: Enables operation at high current densities with lower energy loss.
  • Application flexibility: Compatible with modular batteries, residential power systems and large-scale storage.
  • Sustainability: Supports alkaline conditions that facilitate simple and effective rebalancing strategies.

Specifications

wherein:

- R1 is selected from -Y, -OY, -COOY, -SY and -NY2,

wherein Y represents:

- H or an organic radical chosen from alkyl alkyl, alkenyl, alkynyl, acyl, aryl, alkylaryl, arylalkyl, alkylene oxide and alkyleneimine, optionally substituted with at least a substituent selected from the group consisting of F, Cl, Br, I, –CN, –OR’, –SR’ and, –NR’R’’, wherein R’ and R’’ are independently selected from H, alkyl, alkylene oxide and alkyleneimine;

- is an integer independently selected from 0 to 5;

- n and p, are ineger positive numbers, and

- N is an anion.

Desired business relationship

Commercial Agreement, License Agreement, Technical Cooperation: further development; Technical Cooperation: testing new applications; Technical Cooperation: adaptation to specific needs.

Intellectual property status

Related Keywords

  • Storage of electricity, batteries
  • Transmission of electricity
  • Protecting Man and Environment
  • Environment
  • Sustainability
  • Electronics, IT and Telecomms
  • Batteries
  • viologen
  • electrolyte
  • atom
  • electroactive
  • redox flow

About UNIVERSIDAD DE BURGOS

The aim of the Technology Transfer Office (TTO) of the Universidad de Burgos is to promote Innovative technology through the research results transfer and the connections between the University and the new needs and requirements of society - we are the link between the University and the Industry. Contact person: José Manuel López (jmllopez@ubu.es)

UNIVERSIDAD DE BURGOS

Never miss an update from UNIVERSIDAD DE BURGOS

Create your free account to connect with UNIVERSIDAD DE BURGOS and thousands of other innovative organizations and professionals worldwide

UNIVERSIDAD DE BURGOS

Send a request for information
to UNIVERSIDAD DE BURGOS

About Technology Offers

Technology Offers on Innoget are directly posted
and managed by its members as well as evaluation of requests for information. Innoget is the trusted open innovation and science network aimed at directly connect industry needs with professionals online.

Help

Need help requesting additional information or have questions regarding this Technology Offer?
Contact Innoget support