Nuevos complejos de iridio(III) con aplicación como foto-catalizadores y para el tratamiento del cáncer

  • UNIVERSIDAD DE BURGOS
  • From Spain
  • Responsive
  • Patents for licensing

Summary of the technology

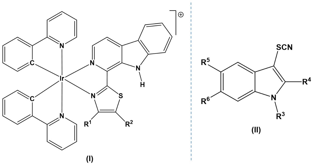
Investigadores de la Universidad de Burgos han patentado un proceso sintético para la obtención de complejos catiónicos de Iridio(III) con fórmula (I). Además, se ha desarrollado un procedimiento de tipo one-pot para la síntesis regioselectiva de 3-tiocianato indoles (II) a partir de sus correspondientes indolinas utilizando los citados complejos de Ir(III) como fotocatalizadores. Por otro lado, en dicha patente también se protege el uso de los complejos de Ir(III) como fotosensibilizadores terapéuticos y más en particular su uso en terapia fotodinámica antitumoral.

Aspectos nuevos e innovadores

Los complejos de Iridio(III) descritos poseen una serie de características que los diferencian de los complejos conocidos hasta el momento. Presentan una importante actividad como fotocatalizadores o fotosensibilizadores, absorbiendo energía proveniente de la luz y transfiriéndosela al oxígeno para formar especies de oxígeno reactivas (ROS) que actúan como oxidantes muy eficaces y medioambientalmente sostenibles. Además, la síntesis de los complejos de Iridio(III) se lleva a cabo en condiciones suaves y proporciona buenos rendimientos de reacción.

Principales ventajas derivadas de su utilización

  • Alta estabilidad de los complejos de Iridio(III) en disolución.
  • Presentan fotoestabilidad bajo diferentes fuentes de luz, aumentando considerablemente su rango de aplicaciones posibles.
  • Como fotocatalizadores, el uso de luz de menos energía implica un menor riesgo de reacciones secundarias en fotocatálisis y por lo tanto procesos más selectivos.
  • En la síntesis regioselectiva de 3-thiocianato indoles a partir de indolinas, el proceso se lleva a cabo en un solo paso, por lo que es más económico dado que se evitan etapas de aislamiento y purificación de los productos intermedios.
  • En aplicaciones terapéuticas, los complejos diseñados presentan un elevado índice de fotocitotoxicidad (PI = IC50,dark/IC50,light).

Características técnicas

Los complejos de Iridio(III) catiónicos de fórmula (Mn+)(X-)n se caracterizan porque el átomo de Iridio se encuentra coordinado a dos ligandos 2-fenilpiridinato, a través del átomo de nitrógeno del anillo piridina y uno de los átomos de carbono del grupo fenilo; y a un ligando derivado de β-carbolina, a través de dos átomos de nitrógeno. Estos complejos pueden ser empleados como fotocatalizadores en síntesis orgánica o como fotosensibizadores en terapia fotodinámica.

En síntesis orgánica, estos complejos permiten llevar a cabo la síntesis regioselectiva de 3-tiocianato indoles, en la posición C-3, mediante un procedimiento de tipo one-pot partir de las correspondientes indolinas. En primer lugar, se produce una deshidrogenación de la indolina y, posteriormente, la tiocianación de los respectivos indoles. Ambos pasos de reacción implican la utilización de oxígeno en presencia de luz y el uso de los complejos de Iridio(III) como fotocatalizadores.

Aplicaciones

Las potenciales aplicaciones de los nuevos complejos de Ir(III) son las siguientes:

  • Reacciones de fotooxidación en síntesis orgánica.
  • Empleo como fotocatalizadores en reacciones de tiocianación de índoles e indolinas.
  • Uso como fotosensibilizadores en terapia fotodinámica en el tratamiento del cáncer.
  • Elaboración de un medicamento para el tratamiento del cáncer, en combinación con radioterapia, es decir, en donde dicho medicamento se administra junto con, o antes de, la administración de radioterapia.

Propiedad Intelectual

Protegida mediante patente de invención P202031190

Estado actual de desarrollo

La tecnología relativa al método de sintesis esta desarrollada.

Relación comercial deseada

Acuerdo comercial, Acuerdo de licencia, Cooperación técnica: un mayor desarrollo, Cooperación Técnica: testar nuevas aplicaciones; Cooperación Técnica: adaptación a necesidades específicas.

Intellectual property status

Attached documents

Related Keywords

  • Biological Sciences
  • Agriculture and Marine Resources
  • Agrofood Industry
  • Protecting Man and Environment
  • Genetic Engineering / Molecular Biology
  • Medical Health related
  • Industrial Products
  • Other
  • cancer
  • antitumoral
  • propiedades fotocatalíticas
  • iridio
  • tiocianación regioselectiva
  • fotosensibilizador
  • terapia fotodinámica
  • fotocatalizador de iridio(iii)

Sobre Universidad de Burgos

El objetivo de la Oficina de Transferencia de Conocimiento (OTRI) de la Universidad de Burgos es promover la Innovación tecnológica a través de la transferencia de resultados de investigación y las conexiones entre la Universidad y los nuevos requerimientos y realidades de la sociedad - somos el vínculo entre la Universidad y la Industria. Persona de Contacto: José Manuel López (jmllopez@ubu.es)

UNIVERSIDAD DE BURGOS

Never miss an update from UNIVERSIDAD DE BURGOS

Create your free account to connect with UNIVERSIDAD DE BURGOS and thousands of other innovative organizations and professionals worldwide

UNIVERSIDAD DE BURGOS

Send a request for information
to UNIVERSIDAD DE BURGOS

About Technology Offers

Technology Offers on Innoget are directly posted
and managed by its members as well as evaluation of requests for information. Innoget is the trusted open innovation and science network aimed at directly connect industry needs with professionals online.

Help

Need help requesting additional information or have questions regarding this Technology Offer?
Contact Innoget support